Мухаметов Р.С. Особенности электоральной культуры Екатеринбурга
УДК 324
ОСОБЕННОСТИ ЭЛЕКТОРАЛЬНОЙ КУЛЬТУРЫ ЕКАТЕРИНБУРГА
Мухаметов Р.С.
В работе излагаются основные особенности электорального поведения населения Екатеринбурга. Много внимания уделено причинам такого голосования. Автор полагает, что на предпочтения избирателей уральской столицы влияют такие факторы как экономический, урбанистический, возрастной. Основная мысль текста заключается в том, что политико-партийные предпочтения избирателей Екатеринбурга обладают определенной степенью устойчивости. Автор приходит к выводу, что уральская столица – регион с особой электоральной культурой.
Ключевые слова: Екатеринбург, электоральное поведение, региональная электоральная культура, политическая регионалистика.
SPECIFY OF ELECTORAL CULTURE OF EKATERINBURG
Mukhametov R.S.
This article discusses the main features of electoral behavior in Ekaterinburg. Much attention is paid to the reasons for such voters’ choices. The author believes that the preferences of city voters are influenced by economic, urban and age factors. The article argues that political preferences of voters of Ekaterinburg have a certain degree of stability. In conclusion the author emphasized that Ekaterinburg is a region with a special electoral culture.
Keywords: Ekaterinburg, electoral behavior, regional electoral culture, regional studies.
Для понимания электоральных процессов, происходящих на федеральном уровне, необходимо изучать политические предпочтения избирателей на различных территориальных уровнях. С точки зрения статистки, самый распространенный и доступный территориальный уровень электорального анализа, на котором политологи проводят, как правило, свои исследования в России – региональный уровень. Данный уровень позволяет провести комплексный анализ электорального поведения населения за весь период выборов в современной России. Однако субъекты РФ слишком неоднородны не только по социально-экономическим, но и политическим характеристикам. В большинстве регионов результаты голосований в административном центре, городах и сельской местности настолько различаются, что итоговые показатели по субъекту в целом резко искажают реальную картину расстановки политических сил. Поэтому исследование политико-электоральных предпочтений избирателей необходимо проводить и на уровне территориальных избирательных комиссий (ТИКов), которые формируются в городах. Это позволяет детально изучать территориальную структуру политической ориентации избирателей. Если изучение электорального поведения избирателей по регионам страны дает возможность говорить о межрегиональных различиях, то анализ структуры и динамики политических предпочтений избирателей на уровне ТИКов позволяет выявить территориальную дифференциацию электоральных предпочтений избирателей внутри региона.
Объектом данного исследования являются электоральные предпочтения жителей Екатеринбурга, а предметом – особенности партийных предпочтений электората уральской столицы.
Источником информации о результатах выборов послужили бюллетени избирательных комиссий (протоколы Центральной избирательной комиссии, окружных комиссий, комиссий субъектов РФ, территориальных избирательных комиссий). В работе использованы результаты всех одиннадцати федеральных голосований, состоявшихся на территории России с 1993 по 2012 гг. Данные по численности населения, демографическая и социально-экономическая информация взяты из сборников Госкомстата РФ и его региональных подразделений.
Электоральное пространство мы разделили на следующие партийно-идеологические сектора: 1) левые (представлен КПРФ); 2) державно-патриотические силы (ЛДПР); 3) партия власти (Выбор России – НДР – Единство – Единая Россия); 4) право-либеральные силы (Яблоко, СПС, Гражданская платформа). Выбор политических партий был обусловлен тем, что они предоставляют избирателям широкий спектр альтернатив при определенной преемственности партийных проектов. При анализе думских кампаний основное внимание уделено выборам по партийным спискам, т.к. именно они отражают главные политико-идеологические тенденции.
Самой крупной и известной силой левой сцены является, разумеется, КПРФ.
Таблица 1.
Электоральная поддержка КПРФ в Екатеринбурге на президентских и парламентских выборах

Источник: здесь и далее в таблицах приводятся данные Избирательной комиссии Свердловской области http://www.ikso.org/.
Первой особенностью электоральной культуры уральской столицы является пониженный фон голосования за КПРФ. Для сравнения: на общероссийском уровне за коммунистов более активно голосуют. Чем такое голосование можно объяснить?
С нашей точки зрения, «типичными», обладающими специфическими социально-демографическими характеристиками, избирателями КПРФ являются пожилые люди. Иными словами, основная масса электората КПРФ голосует за партию и Зюганова «по привычке» и имеет пенсионный возраст. По мнению российских экспертов, на выборах КПРФ традиционно аккумулирует голоса трех разных категорий избирателей: во-первых, сторонников коммунистических и социалистических идей, голосующих «за название», во-вторых, тех, кто просто ностальгирует по СССР и жаждет стабильности «как при Брежневе», а в-третьих, прямо пострадавших от реформ 90-ых годов, то есть собственно протестный электорат [4].
Как нам представляется, для появления протестного электората нужны, в том числе, плохие социально-экономические показатели. Что касается города Екатеринбурга, то уральская столица по уровню и качеству жизни является одним из лидеров среди российских городов. В частности, по данным исследования «Качество жизни в российских городах. Екатеринбург на фоне других крупных и средних российских городов», Екатеринбург уверенно занимает лидирующие позиции среди российских городов по качеству жизни. По показателю удобства города для проживания Екатеринбург опередил большинство мегаполисов страны, в том числе Москву, Санкт-Петербург, Челябинск, Пермь, Казань и другие [3]. По результатам другого исследования («Интегральный рейтинг городов»), которое проводили специалисты Санкт-Петербургского института территориального планирования «Урбаника» совместно с Союзом архитекторов России, столица Среднего Урала заняла третье место в рейтинге самых комфортных для проживания городов России в 2013 году [1].
Таким образом, можно констатировать, что социально-экономическое показатели и уровень жизни в Екатеринбурге являются высокими, поэтому у горожан целом нет особых причин голосовать за левую оппозицию, т.е. за те политические силы, и в чьих программах содержатся обещания социальной помощи.
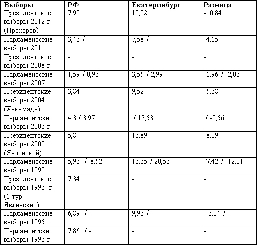
Правые представлены двумя основными либеральными партиями – «Яблоко» и Союзом Правых Сил.
Таблица 2.
Электоральная поддержка либералов в Екатеринбурге на президентских и парламентских выборах

Примечание: Яблоко / СПС
Следующая особенность электоральной культуры столицы Среднего Урала – повышенный фон голосования за либералов. Чем это обусловлено? То, что политические предпочтения избирателей, проживающих в городах-миллионниках, отличаются в сторону либерально-демократической направленности, связано со спецификой городской политической культуры. В мегаполисе больше носителей демократической политической культуры. Город всегда отличается от села своими реформаторскими настроениями. Высокая доля интеллигенции и лиц с высшим образованием, развитый бизнес создают социальную базу голосования за либералов. «Правый» электорат в наибольшей степени представлен лицами с высшем образованием, относительно высокими доходами.
Екатеринбург – административный, финансовый и научный центр, инновационная часть российского пространства. В городе размещены ведущие научные и вузовские учреждения. Екатеринбург является одним из крупнейших финансово-деловых центров России, здесь сконцентрированы офисы транснациональных корпораций, представительства иностранных компаний, большое количество федеральных и региональных финансово-кредитных организаций. Иными словами, крупные города являются центрами инноваций, где концентрируются наиболее активное трудоспособное население с высоким уровнем образования.
Термин «партия власти» прочно закрепился в российском политическом лексиконе. Данный титул поочередно принадлежал таким партиям и общественно-политическим организациям, как «Демократический выбор России» Е. Гайдара (1993), «Наш дом – Россия» В. Черномырдина, «Межрегиональное движение «Единство» С. Шойгу (1999) и, наконец, «Единая Россия» (2003) [2, с. 308-309].
Таблица 3.
Электоральная поддержка партии «Единая Россия»
в Екатеринбурге на президентских и парламентских выборах

Третья особенность – для Екатеринбурга характерен пониженный фон голосования за «партию власти». Как нам представляется, объяснительная модель такого голосования может быть следующей.
Во-первых, для мегаполиса характерен высокий образовательный ценз. В крупном городе выше доля независимо голосующих избирателей. Для электорального поведения горожан характерна также известная самостоятельность в принятии решений. Для сравнения: сельскому населению больше свойствен конформистский тип голосования и неспособность противостоять манипулятивному воздействию со стороны властных структур.
Во-вторых, в административном центре Среднего Урала лучше представлены политические активисты конкурирующих политических партий. Это автоматически делает выборы более прозрачными и соревновательными.
В-третьих, определенное влияние на результаты единороссов в уральской столице оказывал конфликт между областными властями, которые контролируют региональное отделение «партии власти» с апреля 2004 года, и администрацией Екатеринбурга.
Среди политических партий современной России исследование электоральной поддержки ЛДПР может представлять особую ценность для изучения закономерностей политических предпочтений и электорального поведения населения. ЛДПР относится к державно-патриотическому сектору политического пространства страны. ЛДПР в больше степени, чем другие партии представляет и выражает интересы националистического электората.
Таблица 4.
Электоральная поддержка ЛДПР в Екатеринбурге на президентских и парламентских выборах

Четвертая специфика электоральной культуры Екатеринбурга – уровень поддержки ЛДПР является неустойчивым. Чем это обусловлено? Мы считаем, что национальный вопрос на Среднем Урале в целом и Екатеринбурге в частности так остро не стоит, как в других регионах страны. Ситуацию в сфере межнациональных отношений в Свердловской области можно охарактеризовать как стабильную. На Среднем Урале многонациональное население, на протяжении многих лет бок о бок в мире живут представители более 100 национальностей. Уральский регион исторически складывался как многонациональный. Отсюда идет широкая известность Свердловской области как пример этнически толерантного региона. Этим объясняется значительный опыт межнационального общения и относительно невысокая межнациональная напряжён¬ность.
Таким образом, электоральные предпочтения жителей города Екатеринбурга имеют следующие особенности, а именно:
Первая особенность –более низкие показатели партии «Единая Россия» по сравнению с общероссийскими показателями.
Следующая специфика электорального поведения – повышенный фон голосования за либералов.
Анализ особенностей электоральных предпочтений жителей уральской столицы показывает относительную независимость поведения избирателей Екатеринбурга.
Другой важной чертой является пониженный фон голосования за КПРФ. Для сравнения: на общероссийском уровне за коммунистов более активно голосуют.
Четвертая особенность состоит в том, что электоральные показатели ЛДПР и В.В. Жириновского не отличаются стабильностью.
Таким образом, анализ федеральных кампаний говорит о том, что:
– политико-партийные предпочтения избирателей Екатеринбурга обладают определенной степенью устойчивости;
– Екатеринбург – город с особой электоральной культурой.
Список литературы:
1. Краснодар возглавил «Интегральный рейтинг городов» России по качеству жизни [Электронный ресурс] // Кавказский Узел. 24 октября 2013. URL: http://www.kavkaz-uzel.ru/articles/232239 (дата обращения: 30.08.2014).
2. Мухаметов Р.С. Место и роль «партии власти» в политическом дискурсе // Дискурс Пи. Вып. 10. – Екатеринбург, 2010. С. 308-309.
3. Очередной независимый рейтинг: уровень жизни в Екатеринбурге – один из самых высоких в России. [Электронный ресурс] // Информационный портал Екатеринбурга. 18 июня 2013. URL: http://www.ekburg.ru/news/2/42570-ocherednoy-nezavisimyy-reyting-uroven-... (дата обращения: 30.08.2014).
4. Тарасов А. Левая сцена в России в начале XXI века [Электронный ресурс] // Неприкосновенный запас. 2003. № 5 (31). URL: http://magazines.russ.ru/nz/2003/5/tarasov.html (дата обращения: 30.08.2014).
Сведения об авторе:
Мухаметов Руслан Салихович – кандидат политических наук, доцент кафедры теории и истории политической науки Департамента политологии и социологии Института социальных и политических наук Уральского Федерального университета им. первого Президента Б.Н. Ельцина (Екатеринбург, Россия).
Data about the author:
Mukhametov Ruslan Salikhovich – Candidate of Political Sciences, Associate Professor, Theory and History of Political Science Department, Ural Federal University named after the first President of Russia B.N. Yeltsin (Ekaterinburg, Russia).
E-mail: muhametov.ru@mail.ru.

